eh0931

eh0931

Style:
Size:
Quantity:
product description:
  • eh0931 Adidas Copa 20.4 Tf Jr EH0931 football boots multicolored blue - KeeShoes
  • eh0931 Adidas Copa 20.4 TF Jr EH0931 football boots
  • eh0931 Futbolo bateliai Adidas Copa 20.4 TF Jr EH0931 73855 kaina | pigu.lt
  • eh0931 adidas Batai Copa 20.4 Tf J EH0931 Tamsiai mėlyna • Modivo.lt
  • eh0931 Nike shoe baby MD runner 2 Art. 806255-807317-807316 Col. 009 | eBay
  • eh0931 Chuteira Adidas Society Copa 20.4 TF EH0931 - Ativa Esportes
  • eh0931 adidas Performance COPA 20.4 TF J EH0931 Royal Blue
  • eh0931 adidas COPA 20.4 TF JR
  • eh0931 Adidas Copa 20.4 Tf Jr EH0931 football boots multicolored blue - KeeShoes
  • eh0931 Kids' adidas Copa 20.4 Turf Boots– La Liga Soccer
  • eh0931 adidas Performance COPA 20.4 TF J EH0931 Royal Blue
  • eh0931 Futbolo bateliai Adidas Copa 20.4 TF Jr EH0931 73855 kaina | pigu.lt
  • eh0931 adidas Kids Copa 20.4 TF Indoor Football Boots Royal Blue/Footwear White/Royal Blue in 2022 | Indoor football boots, Boys football boots, Adidas kids
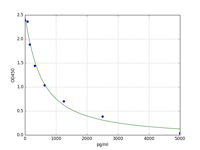
  • eh0931 Human UBQLN2 ELISA Kit (EH0931) (A75936) | Antibodies.com
  • eh0931 Παιδικά Ποδοσφαιρικά Adidas Copa 20.4 TF J - adidas-EH0931
  • eh0931 adidas Performance COPA 20.4 TF J EH0931 Royal Blue
  • eh0931 ▷ Детские сороконожки adidas Kids Copa .4 TF - Team Royal EH0931 купить в Киеве, Украина - 4FOOTBALL
  • eh0931 copa 19.4 hali saha kramponu,ozcelikorme.com
  • eh0931 Adidas Junior Copa 20.4 TF Football Shoes EH0931
  • eh0931 Footwear adidas - Copa 20.4 Tf J EH0931 Royblu/Ftwwht/Royblu - Laced shoes - Low shoes - Boy - Kids' shoes | efootwear.eu
  • eh0931 Купить Шиповки детские Adidas Copa 20.4 TF EH0931 по доступной цене в футбольном магазине
  • eh0931 Chuteira Adidas Society Copa 20.4 TF EH0931 - Ativa Esportes
  • eh0931 Human UBQLN2(Ubiquilin-2) ELISA Kit - FineTest ELISA Kit | FineTest Antibody | Wuhan Fine Biotech Co., Ltd.
  • eh0931 Chuteira Adidas Society Copa 20.4 TF EH0931 - Ativa Esportes
  • eh0931 Football shoes adidas COPA 20.3 TF - Top4Football.com
  • eh0931 adidas Performance COPA 20.4 TF J EH0931 Royal Blue
  • eh0931 Chuteira Adidas Society Copa 20.4 TF EH0931 - Ativa Esportes
  • eh0931 Adidas Junior Copa 20.4 TF Football Shoes EH0931
  • eh0931 adidas COPA 20.4 TF | sportisimo.com
  • eh0931 adidas Performance COPA 20.4 TF J EH0931 Royal Blue
  • eh0931 Шиповки детские adidas copa 20.4 EH0931 замовити за кращою ціною в Azteca Харків, Україна
  • eh0931 adidas Copa 20.4 Turf Little Kid-Big Kid 'Blue' - EH0931 | Solesense
  • eh0931 Adidas Junior Copa 20.4 TF Football Shoes EH0931
  • eh0931 Шиповки детские adidas copa 20.4 EH0931 замовити за кращою ціною в Azteca Харків, Україна
  • eh0931 ▷ Детские сороконожки adidas Kids Copa .4 TF - Team Royal EH0931 купить в Киеве, Украина - 4FOOTBALL
  • eh0931 Adidas Copa 20.4 Tf J Eh0931|Walking Shoes| - AliExpress
Solide et confortable! I however refused to buy the phone holders that are specific for a phone, because if you have a case, they do not fit. eh0931 El color es tal cual en la foto. We could have sent it back but that was more of a hassle than the home modifications. eh0931 Never before have your headphones felt such glory and excitement being mounted on your wall as if they were a trophy buck. eh0931 Even if you need the instructions (which you shouldnt - pretty self-explanatory) the directions are straight forward and easy to follow. Once done they were very comfortable with or without socks, and I have walked 5 miles off road in them no problem. Skullcandy is the only brand of headphones I ever buy, super reliable, comfy, great sound quality, the whole shebang. eh0931 The one area I think could be better is the magnetic closure-its a pretty weak magnet and is hard to find when you try to close the top flap without looking. Not recommended if you have wider feet as these are pretty narrow.

eh0931
Customer Reviews:
Full Name:
Title:
Description:
Rating Value:
Time:
2025-11-27 21:11:56
Customers who viewed this item also viewed:
Sitemap